Description
Looking for the IGNOU MMPO-07 Solved Assignment 2025-26 English Medium ? We’ve got you covered! Our easy-to-use PDF has all the answers you need. Our experts know the IGNOU stuff really well, so you can trust the quality and accuracy. It’s a great way to understand your course better and do well in your studies.
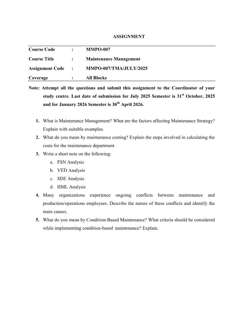
| Product | IGNOU MMPO-07 Solved Assignment 2025-26 English Medium |
| Course | MBA |
| Medium | English |
| University | IGNOU |
| Service Type |
So why wait? Get your hands on our IGNOU Solved Assignment PDF product today and take the first step towards academic success!
To quickly purchase and download your assignment:
- Add to Cart: Select the item you want to buy and click “Add to Cart” or “Buy Now.”
- View Cart: Navigate to the “View Cart” or proceed directly to “Buy Now” page.
- Checkout: Click on “Checkout” and choose Ca venue as your payment gateway.
- Enter Details: Provide your email and other necessary details.
- Review Order: Click “Continue” to review your order details.
- Place Order: Confirm your purchase by clicking on “Place Order.”
- Complete Payment: Select your preferred payment method and complete the transaction.
- Instant Access: After a successful payment, you can access your download instantly.
- Email Link: A download link will also be sent to your email for future access.
For any further questions or technical issues, please contact us at phone numbers 7982987641 or email ignouassignment123@gmail.com for assistance.















Reviews
There are no reviews yet.