IGNOU MS-25 Solved Assignment 2023-24 English Medium
Original price was: ₹100.00.₹40.00Current price is: ₹40.00.IGNOU MS-25 SOLVED ASSIGNMENT JULY 2022 ENGLISH MEDIUM
Original price was: ₹100.00.₹35.00Current price is: ₹35.00.IGNOU MS-25 SOLVED ASSIGNMENT JULY-2022 ENGLISH MEDIUM
Original price was: ₹100.00.₹40.00Current price is: ₹40.00.IGNOU MS-26 Solved Assignment 2023-24 English Medium
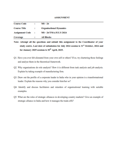
Original price was: ₹100.00.₹40.00Current price is: ₹40.00.IGNOU MS-26 Solved Assignment 2024-25 English Medium
Original price was: ₹100.00.₹50.00Current price is: ₹50.00.IGNOU MS-26 SOLVED ASSIGNMENT JULY 2022 ENGLISH MEDIUM
Original price was: ₹100.00.₹35.00Current price is: ₹35.00.IGNOU MS-26 SOLVED ASSIGNMENT JULY-2022 ENGLISH MEDIUM
Original price was: ₹100.00.₹40.00Current price is: ₹40.00.IGNOU MS-27 Solved Assignment 2023-24 English Medium
Original price was: ₹100.00.₹40.00Current price is: ₹40.00.IGNOU MS-27 SOLVED ASSIGNMENT JULY 2022 ENGLISH MEDIUM
Original price was: ₹100.00.₹35.00Current price is: ₹35.00.
Palam
Delhi-45








